• Compilation Service Charged Only.
• Open Resources Compiled Only.
• Content Verification NOT Guaranteed.
• All Rights Reserved by Original Creators.
• Any issue? Contact Us
© 2016- EU Meducation - All Rights Reserved

![]()
0 of 60 Questions completed
Questions:
You have already completed the quiz before. Hence you can not start it again.
Quiz is loading…
You must sign in or sign up to start the quiz.
You must first complete the following:
0 of 60 Questions answered correctly
Your time:
Time has elapsed
You have reached 0 of 0 point(s), (0)
Earned Point(s): 0 of 0, (0)
0 Essay(s) Pending (Possible Point(s): 0)
| Average score | |
| Your score |
Thousands of books and blogs – and quite a bit of legitimate science – sing the praises of positivity. Optimistic, happy people tend to be healthier, more physically active and more successful. They may even live longer. But as shown by research, positivity, when deployed at the wrong time or in the wrong amount, can have negative effects. For example, when it comes to waiting for the results of an exam or a job interview, ‘being prepared for the worst’ is shown to be a better strategy for protecting ourselves than categorical optimism. When it comes to health, negative thinking spurs people into seeking information and engaging in healthy behaviour. Finally, relentlessly positive people may seem dismissive or insensitive to friends who are having difficulties, seeming to make light of their problems.
Which one of the following best expresses the main conclusion of the above argument?
Although the idea of a driverless vehicle seems like the stuff of science fiction, we are moving very close to the reality of self-driving cars. But we are so engrossed in the technology that we are ignoring the legal implications – and legislating for new scenarios takes time. A whole new set of questions is raised by the development of these machines. One example is the question of who takes responsibility when an accident happens. Given that the vast majority of crashes are caused in part at least by human error, self-driving cars should have the capacity to save lives. But they will not be perfect. So if an accident happens, who is responsible? The owner of the car, or the manufacturer of the car? The car itself cannot be prosecuted or made to pay damages.
Which one of the following can be drawn as a conclusion from the above passage?
In 1938 the Dutch artist Piet Mondrian left Paris to escape the threat of German invasion and went to live in London, where he painted what are now regarded as his best works. Mondrian had the option of moving to a more rural area in England, but chose London because of his love of the diverse and vibrant culture of big cities. This explains why London has more artists living in it than any other city in England.
Which one of the following is an underlying assumption of the above passage?
In some countries, prisoners may purchase books with the money they earn by working. Hence receiving gifts of books may discourage prisoners from undertaking paid work while in prison. This work is important in building self-esteem and encouraging a work ethic among prisoners. In any case, prisoners have access to books through the prison library. Therefore prisoners should not be allowed to receive parcels containing books from friends or relatives while they are serving their sentence.
Which one of the following, if true, most strengthens the above argument?
People who take their holidays in Las Vegas love to gamble. Gerry will be going to France for his holiday so he must not like gambling.
Which one of the following most closely parallels the reasoning used in the above argument?
LoCost sells three different types of washing powder: Zoom, Zap and Ownbrand. Zoom is a double concentrate brand needing only half the amount of powder used by the other two brands.
Which one of the boxes of powder below represents best value for money?
36% of the contents of a tin of sweets have been eaten. Today, 25% of the remaining sweets will be eaten. The same number of sweets will be eaten on each of the following 2 days.
What % of its original contents will it then contain?
As part of a maths project, a class of 30 children conduct a survey amongst themselves of how many brothers and sisters they have. They each write their name in the appropriate space on the chart below. No one in the class has a brother or sister who is also in the class.

How many of the 30 families involved in the survey have a total of 3 or more children?
Jeff is looking to buy a new car. He will only be using it for commuting to his workplace for 1 year and will have a total annual mileage of 20000. He wants to buy the car which would make his total spend over the year, including the initial cost of the car, the lowest.

Using the table above, which type of car should he buy?
A piece of paper is laid on a table in landscape orientation (i.e. the longer side running left to right and the shorter side running top to bottom). This piece of paper is then folded in half four times, alternately by moving the left hand side across over the right hand side and folding, and by moving the top half down over the bottom half and then folding. After each fold a dot is made with a pen in the centre of the face showing on the table. After the four folds and four dots, the paper is unfolded in the reverse sequence and is then turned over so that the four dots are showing.
What is the pattern of the dots on the paper? (Dotted lines represent the fold marks)
Which of the following languages is not a member of the ‘Romance’ language family?
Which of these people did NOT win the Nobel Prize in Literature?
Which one of the following is the director of the film Amarcord?
Which of the following books was NOT written by Primo Levi?
The name of the German mathematician Carl Friedrich Gauss is famously associated with
Which one of the following was the first human to complete an orbit of the Earth in 1961?
Which one of the following pairs of archipelago/country is NOT correct?
Which one of the following international organisations maintains a list of the World Heritage Sites of outstanding cultural or natural importance?
Which one of the following pairs of currency/country is NOT correct?
Which of the following institutions of the Republic of Italy is democratically elected by direct universal suffrage?
Which one of the following is NOT a principle of the sharing economy?
The Fields medal is a prestigious award in the field of
The diagram represents the fluid mosaic model of a cell membrane.

Which one of the labels 1-5 shows a hydrophobic region of a molecule?
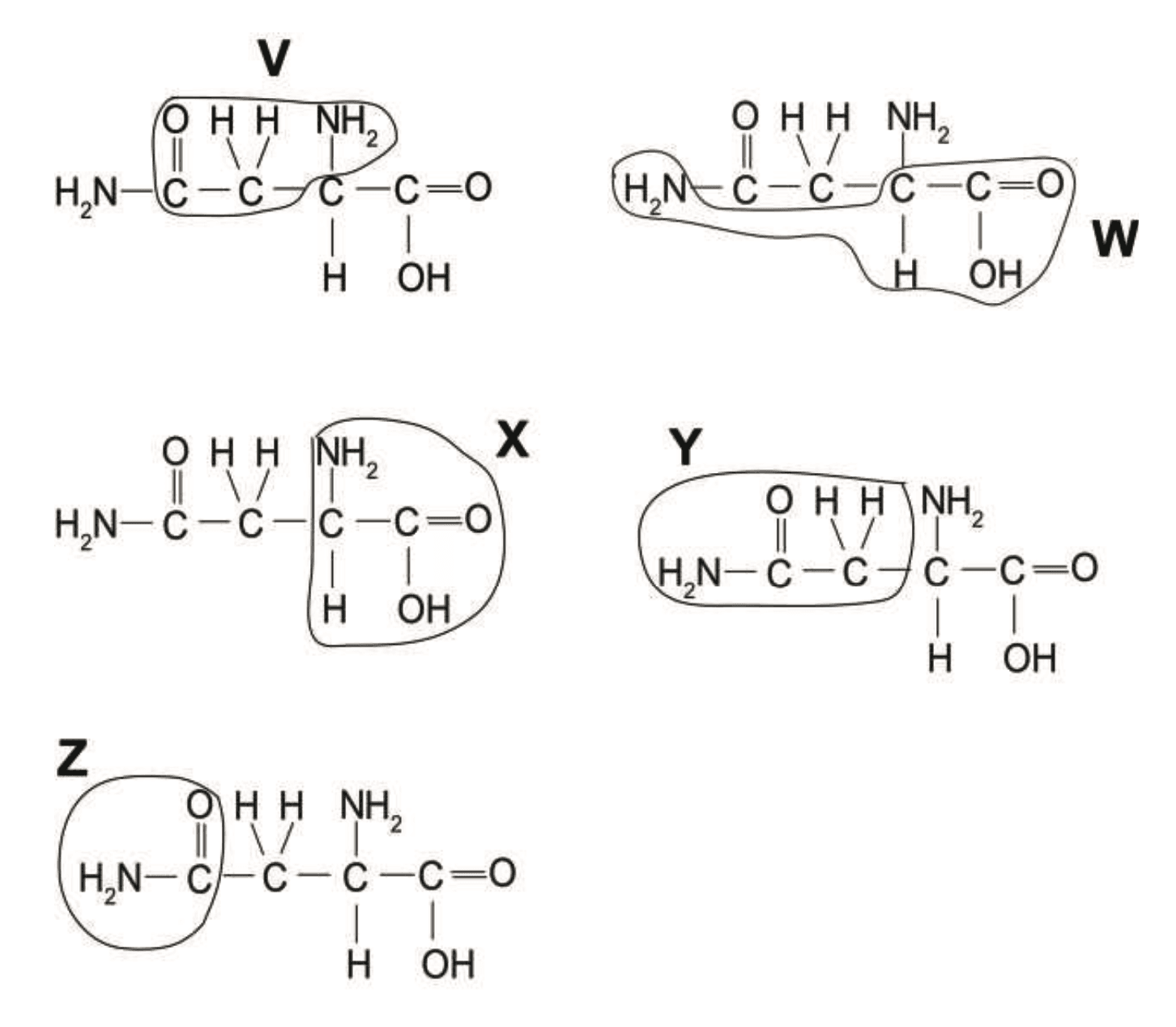
The structure of the amino acid asparagine is shown. In each image (V-Z) a part of the structure is enclosed by a line.

Which line completely encloses the part of the molecule that is common to all naturally occurring amino acids and the R-group for this amino acid?

Which of the following statements about healthy living organisms are correct?
The diagram shows how recombinant DNA can be used to make cotton plants produce an insect toxin. The insect toxin kills any insect that can damage the cotton crop.

What are the TWO functions of the Agrobacterium tumefaciens bacteria in this process?
Which one of the structures listed is NOT involved in the reabsorption of water in a healthy human?
Which of the following statements about bile in the digestive system are correct?
The heart of a developing human fetus normally has a hole in the septum. The septum separates the right atrium and the left atrium.
Which one of the statements about the circulation in the developing fetus with a hole in the septum is correct?
Which row shows three structures found in a healthy human male liver cell, in order of size from largest to smallest?
[Assume that there are no mutations in the cell.]

What is the correct order of the following events that occur immediately after acetylcholine binds to postsynaptic receptors of a muscle fibre, causing the muscle to contract?
Which of the following is/are features of HIV?
The diagrams show five different microscopic structures.
The structures are not drawn to the same scale.
Which of these structures is the smallest?

Which of the following healthy cells contain circular DNA?
The occurrence of which of the following could allow you to distinguish between the processes of DNA replication and transcription?
In 1981, an immature male finch (Geospiza conirostris) arrived on an island in the Galapagos. This male finch was similar to finches of the species (G. fortis) living on the island. However, G.conirostris was 70% larger than G. fortis and had a distinctly different song.
The diagram shows how, after observing further generations, a new species has evolved.

The success of the new species is due to its larger bill and body size and its unique song.
Which of the following terms is/are illustrated by this information?
A single base mutation occurs in a gene. Which of the following is/are possible effects on the protein produced as a result of this mutation?
Which one of the following is an example of catabolism in healthy human cells?
The diagrams show animal cells from organisms that sexually reproduce. Each diagram shows a single cell containing chromosomes during cell division.
Which one of the following diagrams has a correct description for a cell from an organism with a haploid number of 4?
[Assume that the sex of the organism is inherited in the same way as in humans.]
Which one of the following will be caused by an appropriate stimulus of a rod cell in the retina of a healthy human eye?
What does the formula Br2 represent?
Sucrose, C12H22O11, is added to water at 20 ℃ until no more sucrose will dissolve.
Four statements are made about sucrose and the solution that is produced:
Which two statements are correct?
Which of the following is the equation for the reaction of magnesium with excess cold water?
Which of the following substances has the weakest overall intermolecular forces?
[atomic numbers: H = 1; C = 6; N = 7; O = 8; F = 9]
An atom has atomic number x and a mass number of 2x + 6
How many neutrons are in the nucleus of this atom?
In which of the following pairs of species does the vanadium, V, have the same oxidation state?
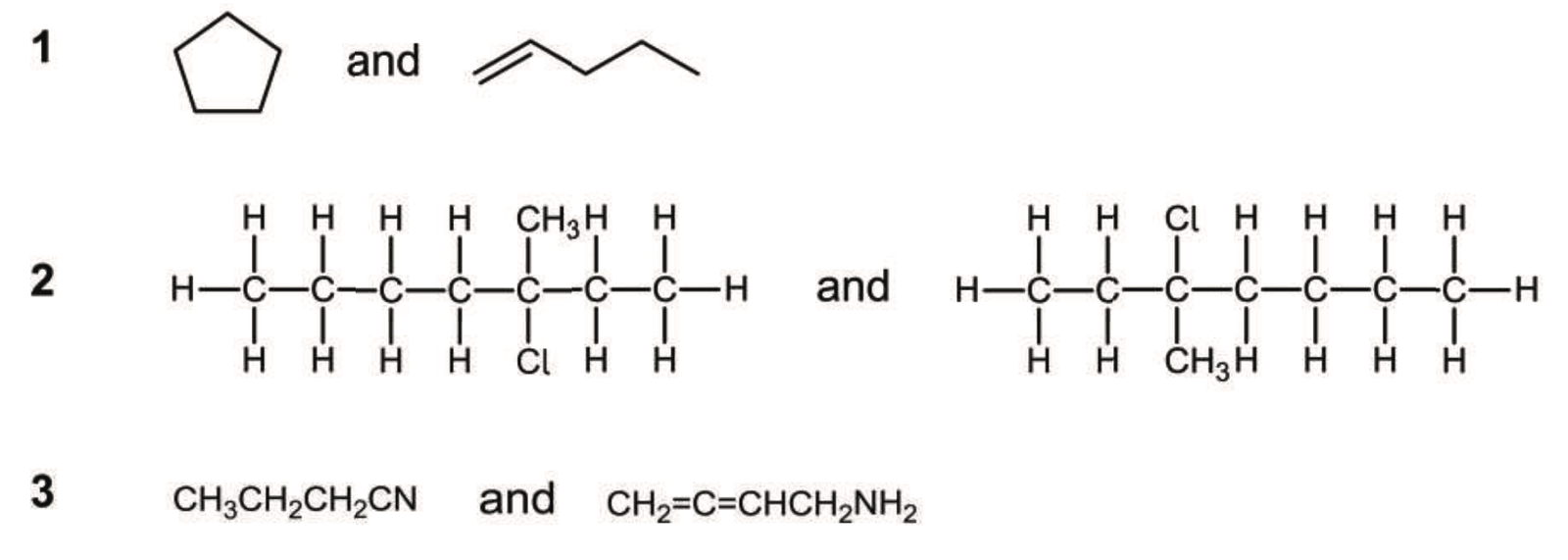
Which of the following pairs of molecules are structural isomers?

Which of the following functional groups is present in cysteine?

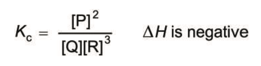
P, Q and R represent substances involved in a gaseous reaction.
The equilibrium constant (Kc) and the sign of the enthalpy change for the reaction are:

Assuming that all other conditions remain constant, a change in which factor results in an
increase of the value of the equilibrium constant, Kc?
Which of the following molecules has a permanent overall dipole moment?
[C is in Group IV; N and P are in Group V; O and S are in Group VI; F and Cl are in Group VII]
X and Y are acidic solutions.
X has a pH of 2 and Y has a pH of 4.
Which of the following statements about the hydrogen ion concentrations of X and Y is correct?
40 cm3 of a solution of sodium hydroxide is exactly neutralised by 25 cm3 of 0.40 mol L–1 sulfuric acid.
2NaOH + H2SO4 → Na2SO4 + 2H2O
What is the concentration, in g L–1, of the sodium hydroxide solution?
[Mr value: NaOH = 40]
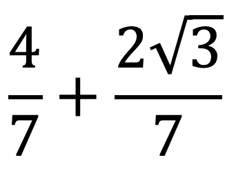
Given that

what is the value of x ?
Which of the following is equal to

What are the coordinates of the turning point of the graph of the quadratic equation
![]()
39 male students and 36 female students were asked how many meals they had eaten in the school cafeteria during the first week of the term. The results are shown in the table:

What is the value of x?
The diagram represents a concave mirror, where F is the principal focus and f is the focal length.

The mirror is used to produce an image of an object.
Which of the following statements are correct?
[Assume the mirror is parabolic.]
A beaker contains 1000g of a liquid that is stirred at its boiling point. A 100W electric heater is completely immersed in the liquid. The heater provides the liquid with thermal energy, and 200g of the liquid changes to vapour in 1600s.
What is the specific latent heat of evaporation of the liquid?
[Assume that no thermal energy is transferred to or from the surroundings, and no vapour condenses.]
A rocket is launched vertically from the surface of the Earth. As it leaves the launch pad, the total mass of the rocket and its contents is m. The gravitational field strength at the Earth’s surface is g. The rocket motor provides an upward vertical thrust T to the rocket.

What is the initial vertical acceleration of the rocket as it leaves the launch pad?
A boat crosses a river that has straight, parallel sides. In still water, the boat has a maximum speed of 4.0 m/s at maximum power. The boat is aimed at a point directly across the river from its starting point. The river flows at a constant speed of 3.0 m/s parallel to its sides.
What is the speed of the boat as measured by a person stationary on the bank, and what is the angle at which the boat travels, measured from a line at 90° to the bank?
[The boat travels at maximum power throughout its journey.]