• Compilation Service Charged Only.
• Open Resources Compiled Only.
• Content Verification NOT Guaranteed.
• All Rights Reserved by Original Creators.
• Any issue? Contact Us
© 2016- EU Meducation - All Rights Reserved

![]()
0 of 60 Questions completed
Questions:
You have already completed the quiz before. Hence you can not start it again.
Quiz is loading…
You must sign in or sign up to start the quiz.
You must first complete the following:
0 of 60 Questions answered correctly
Your time:
Time has elapsed
You have reached 0 of 0 point(s), (0)
Earned Point(s): 0 of 0, (0)
0 Essay(s) Pending (Possible Point(s): 0)
| Average score | |
| Your score |
A young woman (A), knowing that she was dying, requested that her mother (B), who was awaiting a kidney transplant, should be allowed to receive her kidneys after her death. The request was not allowed, and A’s kidneys were received by another patient (C), who was higher up the waiting list than B because his medical need for a transplant was more urgent. The committee overseeing transplant decisions argued that the system it used had to be administered solely in accordance with the rationale behind its waiting list. Their decision seemed to others unduly bureaucratic, especially as B will be left to care for A’s young child.
Which one of the following best illustrates the principle behind the committee’s decision?
From ever younger ages, people are reporting symptoms of anxiety due to the pressure to be ‘perfect’ in all areas of life. It seems that, in many cultures, there is an increasing sense of competition in everything from school results to the job market to personal appearance and even how one’s social life looks on social media. As a result, many people experience problems associated with low self-confidence. But rather than reach for a pill or a self-help book to tackle their problems, more of these individuals should just go outside for a run or a walk. While it sounds simplistic, this recommendation is supported by the research finding that people who do a lot of outdoor activities tend to have high self-esteem.
Which one of the following is the best statement of the flaw in the above argument?
For many years, children and young people have been protected from exploitation by the entertainment industry. In recent years, however, the number of young people suddenly thrust into the limelight has increased, and many of them feel that they must seize any opportunity to achieve recognition before this window passes them by. Dealing with fame, performing in front of large audiences, the rigours of rehearsal and the general stresses of what is a difficult occupation take maturity and can rob children of their childhood. Rejection, disappointment and failure are felt more keenly by young people because they lack wider experience and this can make for a very unhappy childhood. These factors would indicate that young performers need further protection by law.
Which one of the following best expresses the main conclusion of the above argument?
Our three local universities have agreed that they will offer a place to everyone from our school who applies to them. Because you attend a different school, you are not guaranteed an offer from these universities.
Which one of the following most closely parallels the reasoning used in the above argument?
Of all the food we buy, bread suffers the worst fate when it comes to waste. 32% of it ends up being thrown away. We value other types of food a lot more, as the average for all food and drink being wasted is 15%. The proportion of meat and fish thrown away is below average (13%) and our most precious item is alcohol – we throw away just 6% of it.
Which one of the following is an underlying assumption of the above argument?
In a survey of cats’ eating habits, 10% of the cats tested showed a clear preference for Moggiemeat, 20% preferred Fuss-a-Puss and 40% preferred Yummy Paws. An additional 6 cats did not seem to care at all which of the three foods they ate, while the remaining 27 cats in the survey would not touch any of these foods.
How many cats were involved in the survey?
It is usual, when seating people round a table at a social function, to alternate males with females, but if there are unequal numbers of each, this is impossible. At one party, 14 women and only 6 men were present. They were seated round a circular table so that as few women as possible had no male sitting directly next to them.
How many women had no male sitting directly next to them?
Simon plans to send Christmas cards to 35 friends. He is going to choose a single design to send to them all and knows that some of the recipients really do not like glitter cards so he will not buy this type. He wants 2-fold cards so that he can write a letter on the inside for 5 of them.
The following table shows the possibilities that he is considering.

What is the lowest amount of money that Simon could spend on his cards?
When I first woke up early this morning the display of my bedside digital clock showed:

I presumed that it was faulty, but, after drifting off to sleep again, when I next awoke and saw the clock I realised that someone must have turned the clock upside down and that it was exactly an hour and a half since I had looked at it before.
What did I see when I woke up the second time?
Teams from five US states have reached the final of a competition. The event organisers are trying to design a sign for each state. One idea involves the name, in capital letters, being placed vertically on a sign board which spins when one of the team presses their buzzer to answer a question. They want the sign to read correctly regardless of whether it is read from the front or the back. Unfortunately they realise that most of the states for which this would have worked have not reached the final.
Which one of the following is the only state in the final for which this style of sign would work?
Which one of the following pairs of scholar/field of study is NOT correct?
Which one of the following writers is the author of the best-selling novel My Brilliant Friend ?
What does the letter A stand for in the international organisation FAO?
Which of the following pairs of theatre/city is the only correct one?
The Rosetta Stone provided the key to decipher
Which one of the following institutions of the European Union is elected by direct universal suffrage?
Which one of the following directors directed the films that make up The Godfather trilogy?
Which one of the following pairs of scholar/scientific discovery is NOT correct?
Which one of the following treaties established the European Coal and Steel Community (ECSC)?
Which one of the following global organisations sets and enforces rules of trade between nations?
Which one of the following pairs of Russian writers/works is NOT correct?
The expression ‘perfect bicameral system’ refers to
Which of the following types of nucleic acid is/are found in viruses?
Which one of the diagrams (not drawn to scale) represents a structure that is formed by mitosis?

Three fatty acids with the formula C8H16O2 react with glycerol (C3H8O3) to form a triglyceride?
Which of the following is correct for cholesterol in humans?
The diagram represents an animal cell with five organelles labelled P, Q, R, S and T.

Which row correctly matches the label with the name and function of the cell organelle?

Which of the following cell structures contain(s) biological catalysts?
Which of the following reactions or biological processes involves a redox reaction?
The SRY gene is normally located on the human Y chromosome. This gene initiates the development of male characteristics.
Using this information, which of the following statements about the SRY gene is/are correct?
A cell containing four pairs of homologous chromosomes divides by meiosis.
Which row shows the cells produced and the number of chromosomes that they contain?

The sequence of bases in part of a DNA strand is:
TATGATCTTAGGCAACAT
A strand of mRNA is transcribed using this sequence of bases.
Which one of the following charts shows the correct proportions of the bases in the mRNA?
Polydactyly is a condition caused by a gene mutation. Animals affected by polydactyly have extra digits on one or more limbs.
Five inheritance patterns of polydactyly in a species are shown in the diagrams.

Which inheritance pattern can ONLY occur when polydactyly is caused by an autosomal dominant allele and NOT when it is caused by an autosomal recessive allele?
[Assume normal cell divisions in all individuals.]
In which of the following places are proton pumps found?
Which row could be correct for directional selection?

Which one of the following statements is correct about the cardiac cycle of a healthy human?
The graph below shows the change in blood cell count of a human over time.

Which of the following could explain the shape of the above graph?
The diagram shows a cross section through a human eye. Some parts of the eye are labelled 1 to 5 with notes.
Which one of the following notes is correct?

Organ or tissue transplants normally require that the donor’s antigens must be closely matched to those of the recipient.
Which one of the following types of transplant can typically be carried out WITHOUT the need for a match between donor and recipient?
The diagram shows the relationship between the features of two substances involved in digestion: bile and amylase.

Which of the following rows is correct for X, Y, and Z?

As Group VII of the Periodic Table (F to I) is descended, which of the following properties of the elements DECREASE?
An atom has a mass number of 18 and contains 10 neutrons.
A common ion of this atom has a charge of – 2.
What is the electron configuration of this ion in its lowest energy state?
Which of the following changes is/are correct?
Which of the following hydrocarbons are structural isomers of hexane?

Which of the following equations is associated with the first electron affinity of chlorine?
Vitamin B5 has the structure:

Which of the following functional groups are contained in a molecule of vitamin B5?
X is 50.0 mL of a 0.050 mol L-1 aqueous solution of nitric acid (HNO3)
Y is 100 mL of a 0.050 mol L-1 aqueous solution of sulfuric acid (H2SO4)
Which of the following statements about these solutions is/are correct?
Which row gives the correct shapes around the aluminium centres in AlCl3 and Al2Cl6 molecules?

[atomic numbers: Al = 13; Cl = 17]
At room temperature and pressure, which of the following substances has the strongest hydrogen bonds between their molecules?
100 mL of a solution contained 3.2 g of potassium nitrate.
25 mL of this solution was added to an empty 250 mL volumetric flask. Distilled water was added up to the 250 mL mark and the flask was shaken to ensure that mixing was complete.
A pipette was used to transfer 25 mL of the resulting solution from the volumetric flask to an empty conical flask.
What is the concentration of the potassium nitrate solution, in g L-1, in the conical flask?
The general formula of an oxoacid is HmXOn.
Which of the following expressions gives the oxidation state of element X?
A sample of an oxide of iron contains 1.68 g of iron and 0.64g of oxygen only.
What is the formula of this oxide?
[Ar values: Fe = 56; O = 16]
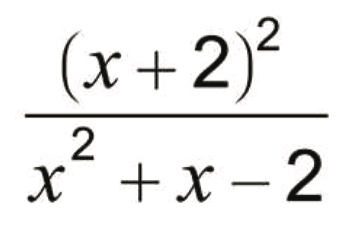
Which one of the following is a simplification of

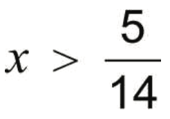
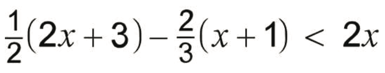
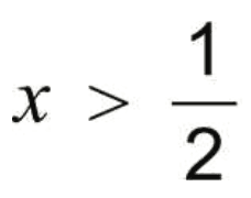
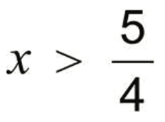
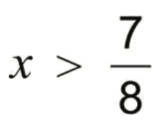
Find the complete set of values of x which satisfy the inequality
![]()

PQR is a right-angled triangle with angle PRQ equal to 90°.
Point S is on the side PR.
Point T is on the side RQ.
The line ST is parallel to the line PQ .
What is the perimeter of the trapezium PQTS in cm?

PQR and PRS are right-angled triangles.
What is the value of cos RPS?
At an athletics competition, a hammer thrower swings a hammer in a horizontal circle.
Immediately before releasing the hammer, the ball at the end of the hammer is moving at a constant angular velocity of 10 rad / s in a horizontal circular path of radius 2.5 m.
Which row in the table gives the speed and the magnitude of the acceleration of the ball just before release?

A hydraulic jack consists of a piston with a small cross-sectional area connected by a tube to a piston with a larger cross-sectional area. The cylinders of the pistons and the tube contain oil.

A downward force F1 is applied to the smaller piston, which results in an upwards resultant force F2 being exerted on the larger piston. Points X and Y are in the oil, immediately underneath the pistons, which are at the same height.
Which of the following statements about the pressure and forces in the hydraulic jack is/are correct?
A metal has a specific heat capacity of 500 J / (kg °C). A block of this metal has a mass of 1.20 kg and is provided with thermal energy by a heater for 5.00 minutes. The temperature of the block increases from 40.0 °C to 90.0 °C without a phase change.
What is the power of the heater?
[Assume that no thermal energy is lost to or gained from the surroundings and that the metal is at a uniform temperature at all times.]
Which of the following expressions gives a quantity that can be measured in joules (J)?
[Assume that all quantities are magnitudes.]
